
Полиуретанските материјали се истакнуваат со својата флексибилност, висока отпорност на удар и абење, одлични сврзувачки својства и извонредни електроизолациски карактеристики. Покрај тоа, нивната релативно ниска цена во споредба со другите термопластики и нивната прилагодливост, полиуретаните се користат во сè, од меките пени за мебел и душеци до цврстите индустриски премази и лепила.
Единствена мана на полиуретанските пени е што се запаливи, но нивната запаливост зависи од хемискиот состав и додадените адитиви. Сепак, полиуретанските пени се произведуваат од петрохемикалии, кои се деривати на нафтата. Главните компоненти се изоцијанати и полиоли, кои потекнуваат од рафинериите.

Полиуретанот е полимер, што значи дека е долг синџир на молекули добиени преку хемиски реакции со нафтени деривати. Како и другите нафтени продукти (пластика, бензин), тој гори лесно и ослободува јаглероден моноксид (CO) и цијановодород (HCN) – исто како при согорување на некои нафтени соединенија.
Во градежништвото, полиуретанските пени често се класифицираат според реакцијата на оган според европскиот стандард EN 13501-1:
Затоа треба користење огноотпорни верзии на полиуретанска пена при градежни апликации, избегнување директна изложеност на пламен или високи температури и комбинирање со незапаливи материјали (како гипс или бетон) за дополнителна заштита. Ако ја користите полиуретанската пена за изолација или градежни цели, проверете дали има B1 класификација за подобра заштита од пожар.
Термичко распаѓање на хемиските врски кај полиуретаните (во инертна атмосфера)
|
Вид на хемиска врска |
Температурен опсег на распаѓање (°C) |
Редослед на стабилност |
|
Биуретски и алофанатни врски |
100 – 125 °C |
Најмалку стабилни |
|
Уреа и уретани |
160 – 200 °C |
Ниска стабилност |
|
Супституирани уреи |
235 – 250 °C |
Средна стабилност |
|
Карбодиимиди |
250 – 280 °C |
Висока стабилност |
|
Изоцијануратни прстени |
270 – 300 °C |
Највисока стабилност |
Иако овие температури можат да дадат добра општа идеја за тоа кои врски најверојатно ќе се распаднат со загревање, стеричните и електронските ефекти на сврзаните групи можат да влијаат на јачината на врските, а со тоа и на температурата на која врската ќе се распадне.
Термичкото распаѓање на полиуретаните обично е обратно од полимеризацијата, што резултира со формирање на нивните прекурсори - диизоцијанати, диамини и дихидрокси соединенија. Затоа, продуктите на распаѓање може да се предвидат од составот на полимерот. Овие процеси се случуваат на околу 300 °C со прекурсорните хемикалии вклучувајќи TDI, MDI, HDI, полиоли (и полиетер и полиестер-полиоли) и ароматични амини.

1. Толуен диизоцијанат (TDI) – C6H3(CH3)(NCO)2 е многу токсичен при вдишување, надразнува очи, кожа и респираторен систем. Силен алерген – може да предизвика изоцијанатна астма, хронично белодробно оштетување и зголемена чувствителност и на ниски концентрации. Долгорочната изложеност може да доведе до неповратно оштетување на белите дробови. Запалив е и лесно испарлив.
2. Дифенилметан диизоцијанат (MDI) – C15H10N2O2 е помалку испарлив од TDI, но сè уште опасен при вдишување, може да предизвика алергиски реакции, иритација на кожата и хронични респираторни проблеми. Запалив е, но помалку од TDI.
3. Хексаметилен диизоцијанат (HDI) – C8H12N2O2 е многу реактивен, но помалку испарлив од TDI и MDI. Силен надразнувач – може да предизвика иритација на очите, кожата и дишните патишта.
Распаѓањето на полиуретаните до околу 600° C резултира со испарување на фрагментиран полиуретан и последователно ослободување „жолт чад“ богат со азот, кој содржи делумно полимеризирани изоцијанати и капки изоцијанат од пената. Повисоките температури резултираат со испарување на повеќето од полиуретанските прекурсори преку формирање на соединенија со помала молекуларна тежина.
Над 600 °C соединенијата присутни во „жолтиот чад“ се распаднале на помали испарливи фрагменти: секој преостанат остаток на изоцијанати ќе реагира со себе за да произведе поликарбодиимиди, со што ќе ги „закотви“ изоцијанатните прекурсори во кондензирана фаза до околу 600 °C, каде што ќе се фрагментираат.
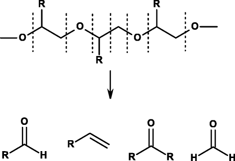
Истражувањето за распаѓање на флексибилна полиуретанска пена базирана на полиетер сугерира дека до 360 °C распаѓањето на пената се постигнува со два главни механизми. Првиот е деполимеризација која би го дисоцирала полимерот до изоцијанати и алкохоли, вториот е дисоцијација до примарен амин, олефин и јаглерод диоксид. Резултатите покажале дека формирањето на прекурсорот, TDI, било многу побрзо и се претпочитало од деполимеризацијата кога испарливите соединенија би можеле да избегаат. Меѓутоа, кога TDI не може да влезе во зоната на пиролиза, ќе се случи побавно, неповратно распаѓање до диаминотолуен (DAT).
Наместо тоа, полиуреите се откриени во фазата на пареа, а исто така и во кондензираната фаза како восочна, нерастворлива бела супстанца. Ова сугерира дека сите формирани амини би реагирале со изоцијанати во фазата на пареа за да формираат уреа, од кои некои би се кондензирале за да ја создадат набљудуваната восочна бела супстанца. Диференцијална дестилација на преостанатиот остаток дала опсег на алдехиди со краток синџир (како што се формалдехид и ацеталдехид), кетони, алкени и фрагменти од полиол со висока моларна маса.

1. Формалдехидот (CH2O) е гас со остар мирис кој надразнува очи, кожа и респираторен систем, силно токсичен и канцероген (IARC Група 1) – долгорочната изложеност е поврзана со карцином на назофаринксот и леукемија. Вдишувањето може да предизвика главоболка, печење во грлото, кашлица и отежнато дишење. Растворот на формалдехид (формалин) може да предизвика изгореници при контакт со кожата. Запалив е, но помалку испарлив од ацеталдехидот.
2. Ацеталдехидот (CH3CHO) е потенцијално канцероген (IARC Група 2B) – поврзан со оштетување на ДНК и развој на рак, особено во дигестивниот тракт. Надразнувач за очи, кожа и дишни патишта. Брзо се метаболизира во организмот до оцетна киселина, но високи концентрации можат да предизвикаат труење. Екстремно запалив и многу испарлив.
Различните механизми на распаѓање може да се препишат на физичката форма на полиуретанската пена, наместо на какви било хемиски разлики. Цврстата пена се распаѓа помеѓу 200 и 410 °C, додека флексибилната пена се распаѓа помеѓу 150 и 500 °C.
И кај крутите и во флексибилните пени, пријавени се анилин и р-аминотолуен, што значи дека изоцијанати кои не испаруваат се претвораат во амини во кондензирана фаза. Цврстите полиуретани примарно произведувале ароматични соединенија во продуктите на распаѓање во кондензирана фаза, додека флексибилните полиуретани произведуваат ароматици, алкохоли, алдехиди и хетероциклични соединенија.
1. Анилинот (C6H5NH2) е токсичен при вдишување, голтање и кожен контакт. Метаболизира во телото и може да предизвика метхемоглобинемија – состојба при која крвта губи способност да транспортира кислород, што доведува до цијаноза (сина боја на кожата), вртоглавица и слабост. Долгорочната изложеност е потенцијално канцерогена (IARC Група 2A – веројатно канцероген за луѓето). Запалив е, но не многу испарлив.
2. p-Аминотолуенот (4-Метиланилин, C6H4CH3NH2) е сличен по токсичност на анилинот, може да предизвика метхемоглобинемија и недостаток на кислород во телото. Иритира кожа, очи и дишни патишта. Долгорочната изложеност може да доведе до оштетување на црниот дроб и нервниот систем. Потенцијално канцероген, но со помалку истражувања во споредба со анилин. Запалив е и треба внимателно ракување.
Распаѓање на висока температура
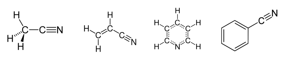
По почетните фази на термичко распаѓање во инертната атмосфера каде што полимерните прекурсори се реформираат и испаруваат, производите на распаѓање имаат тенденција да се фрагментираат на помали молекули(до околу 600 °C), за да добие семејство со ниска молекуларна тежина, продукти што содржат азот, вклучувајќи цијановодород, ацетонитрил, акрилонитрил, пиридин и бензонитрил.

Сите четири соединенија – ацетонитрил, акрилонитрил, пиридин и бензонитрил – се штетни, но на различни начини и со различен степен на токсичност:
Ацетонитрилот (CH3CN) е умерено токсичен при вдишување, голтање или кожен контакт. Метаболизира во цијаниди во организмот, што може да предизвика симптоми како главоболка, вртоглавица и тешкотии со дишењето. Лесно е запалив.
Акрилонитрилот (CH2=CHCN) е силно токсичен и потенцијално канцероген. Надразнува кожа, очи и респираторен систем. Долгорочната изложеност може да доведе до невролошки проблеми и оштетување на органите. Лесно е запалив и експлозивен во одредени концентрации.
Пиридинот (C5H5N) е токсичен при вдишување, проголтување и кожен контакт. Долгорочната изложеност може да влијае на црниот дроб и бубрезите. Има непријатен, остар мирис и е запалив.
Бензонитрилот (C6H5CN) е умерено токсичен при вдишување и проголтување. Може да предизвика иритација на очите и кожата. Метаболизира во цијаниди, што може да доведе до симптоми на труење. Помалку запалив од другите нитрили, но сепак треба внимателно ракување
Над 600 °C, високотемпературното распаѓање на MDI генерира голем број испарливи фрагменти, вклучувајќи бензен, толуен, бензонитрил и толуонитрил.
Бензенот (C6H6) е екстремно токсичен и канцероген (IARC Група 1). Долгорочната изложеност може да доведе до леукемија и други нарушувања на крвта. Ги иритира дишните патишта и може да предизвика вртоглавица, главоболка и поспаност. Запалив е и испарлив,
Толуенот (C6H5CH3) е помалку токсичен од бензенот, но сепак невротоксичен. Вдишувањето на пареите може да предизвика главоболка, заматен вид, дезориентација и оштетување на нервниот систем. Долгорочната изложеност може да влијае на црниот дроб и бубрезите. Запалив е, испарлив и може да предизвика зависност при злоупотреба.
Бензонитрилот (C6H5CN) е умерено токсичен, бидејќи може да се метаболизира во цијаниди. Вдишувањето може да доведе до главоболка, гадење и тешкотии со дишењето. Има надразнувачки ефект врз очите, кожата и респираторниот систем. Запалив, но помалку испарлив од бензенот и толуенот.
Толуонитрилот (C6H4CH3CN)- иако постојат неколку изомери, сите се потенцијално токсични, бидејќи содржат нитрилна (–CN) група. Може да се разложи во телото и да ослободи цијанид, што може да доведе до симптоми на труење. Надразнувач за кожа и очи, умерено е токсичен при вдишување. Запалив е, но помалку испарлив од бензенот и толуенот
На температури до 1100 °C распаѓањето на цврста полиуретанска пена дава амонијак, цијановодород, азот моноксид и азот диоксид. Дополнително, во катранот се откриени различни азотни органски материи, вклучувајќи деривати на анилин, хинолин, пиридин, бензонитрил, индол и акридин, при што повеќе од 50 % од азотот е врзан како 4-[(4-аминофенил)метил]анилин (амино аналог на MDI).
Согорувањето на пластика не е решение, туку отров за воздухот, земјата и нашето здравје. Токсичните гасови што се ослободуваат не знаат за граници – тие го трујат секој здив што го земаме. Наместо да гориме, да рециклираме и да создаваме почиста иднина!
Топлина, чад, асфиксанти и надразнувачи
Огнените гасови содржат мешавина од целосно оксидирани производи, како што се јаглерод диоксид (CO2), делумно оксидирани производи, како што се јаглерод моноксид (CO) и алдехиди, производи за разградување на гориво и гориво, како што се алифатични или ароматични јаглеводороди и други стабилни молекули на гас, како што се водородни халиди. Топлината, чадот и иритирачките гасови може да го нарушат бегството, зголемувајќи го ризикот од смртоносна изложеност на гасови за асфиксија, а понекогаш и оштетувањето на белите дробови може да предизвика смрт кај оние кои успеваат да избегаат.
Главните токсични производи за согорување може да се поделат во две класи: асфиксијални гасови, кои го спречуваат навлегувањето на кислород од клетките, со губење на свеста и на крајот смрт; и иритирачки гасови кои предизвикуваат непосредна онеспособеност, главно со ефекти врз очите и горниот респираторен тракт, и подолгорочно оштетување подлабоко во белите дробови.
Акролеинот и формалдехидот се формираат особено од целулозни материјали во услови на незапалено распаѓање, но производите од оштетеното согорување содржат други органски надразнувачи.
Асфиксирачки гасови
Асфиксирачките или наркотичните гасови предизвикуваат намалување на кислородот доставен до телесното ткиво, што резултира со депресија на централниот нервен систем, со губење на свеста и на крајот смрт. Главните средства за асфиксија, јаглерод моноксид и цијановодород се широко проучувани и се најдобро разбрани. Дополнително, асфиксијата може да се појави и како резултат на намалена концентрација на кислород, а на неа влијае и концентрацијата на јаглерод диоксид. Осиромашувањето на кислородот може да биде смртоносно ако концентрацијата на кислород падне под одржливите нивоа (~6 %). Сепак, од перспектива на токсичност од пожар, генерално се претпоставува дека топлината и другите гасови веќе ќе го спречат преживувањето, додека другите токсиканти, како што се CO или HCN, ќе бидат присутни во смртоносни количини подалеку од пожарот каде што исцрпувањето на кислородот не би се сметало за штетно.
Токсичниот ефект на јаглерод моноксидот се карактеризира со намален капацитет на крвта за испорака на кислород, дури и кога парцијалниот притисок на кислородот и брзината на протокот на крв се нормални. Јаглерод моноксидот се врзува за хемоглобинот во црвените крвни зрнца што резултира со формирање на карбоксихемоглобин (COHb), со стабилност 200 пати поголема од онаа на оксихемоглобинот, попречувајќи го транспортот на кислород од белите дробови до клетките во телото.
Hb+CO⇌COHb
Ова предизвикува влошување на менталните и мускулните перформанси. CO, исто така, се комбинира со миоглобинот во мускулните клетки, со што ја нарушува дифузијата на кислород во срцевите и скелетните мускули. Во кратки периоди, вдишениот CO ја нарушува способноста на поединецот да избега, предизвикувајќи различни ефекти во различни концентрации. При концентрација на CO од 10 ppm, се јавува нарушување на расудувањето и визуелната перцепција; изложеноста на 100 ppm предизвикува вртоглавица, главоболка и замор; губење на свеста се јавува на 250 ppm; а 1000 ppm резултира со брза смрт.
Цијановодород е приближно 25 пати поотровен од јаглерод моноксидот преку формирање на цијанидниот јон, кој се формира со хидролиза во крвта. За разлика од јаглерод моноксидот кој останува првенствено во крвта (како COHb), цијанидниот јон се дистрибуира низ екстрацелуларната течност на ткивата и органите. Идентификувани се два механизми за токсичните ефекти на цијанидот. Првиот е со комбинација со јон на железо во митохондријалната цитохром оксидаза, спречувајќи транспорт на електрони во системот на цитохром и инхибиција на употребата на кислород од страна на клетките.
E-Fe3++ CN− → E-Fe3+— CN−
Каде што:
Вториот резултира со кратка стимулација, проследена со тешка депресија, на респираторната фреквенција, исто така, го изгладнува телото од кислород и предизвикува конвулзии, респираторен застој и смрт. Дали еден или друг од овие механизми преовладува, или нивната меѓусебна поврзаност, останува нејасно. HCN, исто така, предизвикува брзо онеспособување, спречувајќи бегство, а потоа, со CO, придонесува за смрт од асфиксија.
Прифаќањето, дистрибуцијата, метаболизмот и излачувањето на цијанидот е многу покомплексно отколку за CO и квантифицирањето на CN-во жртвите од пожари е поскапо и не се спроведува рутински. Затоа, придонесот на HCN во смртните случаи од пожар е тешко да се процени, а анализата за CN- е ограничена на случаи каде што отсуствуваат смртоносни концентрации на CO.
Надразнувачки гасови
Надразнувачките гасови предизвикуваат болка и тешкотии при дишењето, што доведува до онеспособување, така што жртвата повеќе не може да избега. Ефектите се движат од солзи и рефлексно трепкање на очите, болка во носот, грлото и градите, задржување на здивот, кашлање, прекумерно лачење на слуз, до бронхоконстрикција и грчеви на гркланот. При доволно високи концентрации или кога се прикачени на субмикронски честички, како што е саѓи, повеќето надразнувачи можат да навлезат подлабоко во белите дробови, предизвикувајќи ефекти на белодробна иритација што може да предизвика респираторен дистрес и смрт после изложеност, што обично се јавува од неколку часа до неколку дена по изложувањето, поради поплавување на белите дробови.
Водородните халиди, хлороводород и бромоводород (HCl) и (HBr) се силни киселини кои целосно се дисоцираат во вода. И двете може да бидат присутни во огнениот ефлуент, на пример од ПВЦ или халогенирани забавувачи на пламен, и бидејќи штетата предизвикана од киселоста (концентрацијата на јони H+) е независна од специфичниот анјон (Cl− или Br−), дискусијата за HCl е применлива и за HBr.
Азотниот оксид (NO) и азот диоксидот (NO2) се незапаливи гасови присутни во ефлуентите од пожарот. При високи концентрации азотен оксид брзо се оксидира во воздухот за да формира азот диоксид, меѓутоа, во концентрациите што се наоѓаат во огнените гасови, најголемиот дел од азотен оксид останува неоксидиран. Азотниот диоксид брзо се раствора во вода за да формира азотна и азотна киселина. При високи концентрации овие киселини може да предизвикаат пулмонален едем и смрт. Спротивно на тоа, гасот од азотен оксид во ниски концентрации (~ 20 ppm) се користи за да го помогне дишењето во третманот на респираторни нарушувања.
Општо земено, изложеноста на изоцијанат (R-NCO) предизвикува иритација на кожата, мукозните мембрани, очите и респираторниот тракт. Најчесто пријавени негативни здравствени ефекти по изложеност на изоцијанат во воздухот е астмата поради сензибилизација каде што вдишените изоцијанати брзо формираат конјугати со протеините на епителните белодробни клетки. Откако ќе се појави сензибилизација, дури и екстремно ниските концентрации на изоцијанати во воздухот може да предизвикаат фатални напади на астма.
Пронаоѓач на еден од најстрашните боеви отрови и еден од најкорисните материјали на модерниот свет
WebDesign www.nainternet.mk