
Она што е можеби најинтересно за различните бои на крвта е тоа што ја прикажува еволуцијата која доаѓа со различни решенија за истиот проблем - во овој случај, транспортот на кислород.

Црвената не е единствената боја на крвта – таа доаѓа и во сина, зелена, виолетова, па дури и безбојна варијанта – и ова е резултат на специфичните хемикалии кои ја сочинуваат крвта во различни организми. Сигурно сте чуле дека крвта од јастогот е безбојна кога е во нивните тела. Меѓутоа, кога е изложена на воздух, станува карактеристично сина поради присуството на хемоцијанин, молекула базирана на бакар што се користи за транспорт на кислород.

Значи, да почнеме со она што веќе го знаеме.
Повеќето луѓе ќе дознаат дека човечката крв, како и онаа на повеќето други 'рбетници, е црвена како резултат на хемоглобинот, голем протеин кој се наоѓа во црвените крвни зрнца, кој содржи атоми на железо во својата структура. Хемоглобинот е она што е познато како респираторен пигмент и игра витална улога во телото, пренесувајќи кислород низ телото до вашите клетки и помагајќи му на јаглеродниот диоксид да дојде назад во белите дробови од каде што може да се издишува.
Големиот протеин се состои од четири помали единици кои самите содржат мали делови наречени хеми, од кои секоја содржи атом на железо. Оваа структура може да се „врзе“ со кислородот, давајќи им на црвените крвни зрнца способност за транспорт на кислород.

Атомите на железо се исто така одговорни за бојата на хемоглобинот. Индивидуалните хеми се конјугирани молекули - тие имаат многу наизменични двојни и единечни врски помеѓу јаглеродните атоми во нивната структура - и оваа конјугација ги тера да апсорбираат светлосни бранови должини во видливиот дел од спектарот, што доведува до „обоеност“. Присуството на атом на железо малку ја модифицира оваа апсорпција, и како таков хемоглобинот добил црвена боја кога се внесува кислород и малку потемно црвена кога се деоксигенира.
Општо познатиот мит е дека деоксигенираната крв е сина - на крајот на краиштата, ако погледнете низ вашата кожа во некоја од вашите вени, кои носат деоксигенирана крв подалеку од клетките на вашето тело, тие имаат сино-сива нијанса. Меѓутоа, овој изглед е всушност предизвикан од интеракцијата на светлината и со крвта и со кожата и со ткивото што ги покрива вените. Има детален преглед на малку посложените причини зошто вените се појавуваат сини, и покрај тоа што се црвени, но овде нема да се задржиме на тоа.
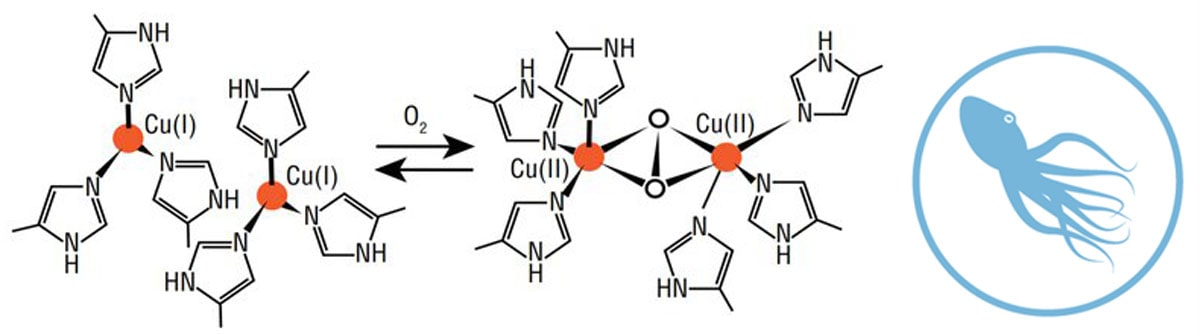
Меѓутоа, постојат некои суштества за кои сината крв е норма. Ракови, пајаци, лигњи, октоподи и некои мекотели имаат сина крв како резултат на различен респираторен пигмент. Наместо хемоглобин, овие суштества користат протеин наречен хемоцијанин за транспорт на кислород. Различната структура на пигментот, како и инкорпорирањето на бакарни атоми наместо железо, доведува до тоа крвта да биде безбојна кога е деоксигенирана и сина кога е оксигенирана. Тие, исто така, се врзуваат за кислородот на различен начин со хемоглобинот, при што два атоми на бакар се врзуваат за секоја молекула на кислород.

Не застануваме тука; зелената крв, исто така, е можна, кај некои видови црви и пијавици. Ова е интересно, со тоа што поединечните единици на хлорокруорин, протеинот што доведува до зелена боја на крвта, се всушност многу слични по изглед со хемоглобинот. Всушност, тие се речиси идентични - единственото различно е алдехидна група на местото на винилна група во хемиската структура (иако името може да сугерира поинаку, хлорокруорин не содржи атоми на хлор).

И покрај оваа мала разлика, резултатот е забележлива промена на бојата - деоксигенираната крв што содржи хлорокруорин е светло зелена боја и малку потемно зелена кога се внесува со кислород. Чудно, во концентрирани раствори, добива светло-црвена боја. Голем број на организми кои имаат хлорокруорин во крвта, исто така, имаат и хемоглобин, што резултира со целосна црвена боја.
Меѓутоа, хлорокруоринот не е секогаш неопходен за зелената крв, како што се гледа кај зеленокрвниот кожен гуштер. Овој гуштер се наоѓа на Нова Гвинеја, и покрај тоа што крвта содржи хемоглобин како и другите 'рбетници, неговата крв е со карактеристична зелена боја. Бојата се должи на разликата во начинот на кој тие го рециклираат хемоглобинот. Луѓето го рециклираат хемоглобинот во црниот дроб, така што го разложуваат прво на биливердин, а потоа и на билирубин. Меѓутоа, гуштерите не се способни дополнително да го разградат биливердинот, па тој се акумулира во нивната крв, давајќи зелена боја доволно интензивна за да ја надмине црвената боја на хемоглобинот.
Конечно, виолетова крв е исто така можна, иако во ограничен опсег на некои видови морски црви. Оваа боја е предизвикана од уште еден различен респираторен пигмент, наречен хеморитрин. Хеморитрин содржи поединечни единици кои самите содржат атоми на железо; кога е деоксигенирана, крвта е безбојна, но кога е оксигенирана има светло виолетово-розева боја. Како и повеќето други респираторни пигменти, тој е многу помалку ефикасен од хемоглобинот, во некои случаи има само околу една четвртина од капацитетот за носење кислород.

Крвта од ледената риба е безбојна бидејќи и недостасува хемоглобин, протеинот што го врзува кислородот во крвта. Channichthyidae се единствените познати 'рбетници на кои им недостига хемоглобин како возрасни. Иако тие не произведуваат хемоглобин, во нивниот геном може да се најдат остатоци од гени на хемоглобинот.

Како што гледаме, различните бои на крвта доаѓаат од еволуцијата на живите суштества кои имаат различни решенија за истиот проблем - транспортот на кислород.

Сифилис е бактерија која е екстремно „срамежлива“ – преживува само во човекот, барајќи допир, интимност и влага.
Човекот што стопи метал во дланка и ја потврди точноста на Периодниот систем на елементите
WebDesign www.nainternet.mk